top of page

ベクトルは図形の考え方と数式の両方を駆使する分野で苦手な方も多いのではないでしょうか。
数字と同じようにベクトルも加算することができます↓。加算はまるで平行四辺形の対角線のようです。


正負の数と同じくベクトルにも[ − マイナス ]をつけることができ、↓のように反対です。


ベクトル同士は[ × かける ][ ÷ わる ]はなく、[ ベクトル × 数字 ][ ベクトル ÷ 数字 ]です

ベクトルと平行は「実数倍」で表せます。

ベクトルを[ ベクトルの大きさ ]で割ると「単位ベクトル」が導出できます。
要は「ベクトルの1」です(←数字は1の何倍で表せますが、それをベクトルにあてはめたわけです)。

「単位ベクトル」が2つあれば座標平面上のベクトルについて、ベクトルを分解して「単位ベクトルの実数倍」で表すことができます。
↑を反対に考えて「単位ベクトル」を2つ使って座標平面上のベクトルを表すことができます

「基本ベクトル」( 1, 0 )と( 0, 1 )を2つxy座標平面上のベクトルをおいて、あるベクトルのx座標 y座標それぞれの大きさを使い「ベクトルの成分表示」と言います。
↓であくまで座標が( 3, 2 )なのではなく、ベクトル( 3, 2 )です。

「ベクトルの成分表示」とベクトルの大きさは「三平方の定理」と同じ考え方です。

「ベクトルの成分表示」は+−×÷ができます(×÷は実数とできます、ベクトル同士ではなく)

「ベクトルの成分表示」については「ベクトルの大きさ」も同 時に学んでしまいましょう。
「平方根」「三平方の定理」と考え方に近いです。

「ベクトルの内積」は↓のとおりですが、cosθのかけ算により[ cos 0° = 1 ] [ cos 90° = 0 ] [ cos 180° = − 1 ]をよく使います。

「ベクトルの内積」は成分表示の場合でも計算できます。三角形の余弦定理を応用することで証明できます。

「ベクトルの内積」から[ cosθ ] を求めることもできます。

「ベクトルの内積」と「垂直」も頻出です。垂直ならば「 ベクトルの内積 = 0 」です。

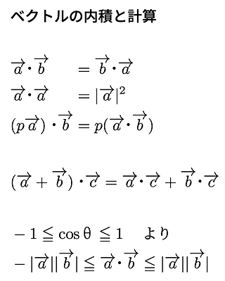
「ベクトルの内積」は計算ルールには↓のようなものがあります。ベクトルの大きさもでてきます。

「ベクトル」を図形的に捉える時には「位置ベクトル」がでてきます。
「位置ベクトル」は簡単に言えば「基準点Oに対する相対位置」を表すものです。
↓のように中点は2分するものです。

「位置ベクトル」は線分を分ける点も表すことができます。
m : n に分ける点を↓のように平行四辺形で表すことができます。
ABの間にある時「内分点」は↓のとおりです。
( AB = m + n がポイント )

線分を分ける点でもABの外にある時「外分点」は↓のとおりです。
( AB = n - m がポイント )

位置ベクトルと「三角形の重心」は↓のような関係です。

方向ベクトルを定義すると、直線のベクトル方程式を表すことができます。
[ t 倍 ]がポイントです。

2 点を通る[ ベクトル方程式 ]も↓のように表すことができます。
[ s + t = 1 ] がポイントです。

[ ベクトルの内積 ] と法線ベクトルを応用すると↓のように表すことができます。

[ ベクトルの大きさ ] を円の中心にあてはめると「円のベクトル方程式」↓のように表すことができます。

異なる2点を直径とする「円のベクトル方程式」も↓のように表すことができます。
・直径ならば円周角が直角
・直交するベクトルの内積 = 0
を利用します。

bottom of page
