top of page

積分とはなんでしょう?
-
微分の反対
-
面積を求める
-
体積を求める
-
小さな区間を足し合わせる
このような回答が代表的なものかと思います。
微分の反対 → そのとおりですが、積分自体を説明する回答ではありません
面積を求める → xy座標平面に考えるとき(=y , f(x)を1次元で表すなら)、面積を求めること=積分 と解釈できます
体積を求める→ xy座標平面に考えるとき&x軸やy軸において回転させる(f(x)を面にしたとき)には面を区間[ a, b ]まで重ねていけば体積になりますが積分には「速度を時間で積分」など面や体積と関係ないものもあります
小さな区間を足し合わせる → 間違ってはいませんが、どのように足し合わせる?足し合わせてどーなる?の部分が不足しています。
ややこしいです。積分は難しいです。
定義の前にまずは「積分のイメージ」を捉えましょう。 イメージを掴むのに良い教材が「ケーキのミルクレープ」です。一つの層(面積)を[ お皿の面 → 面から4cm の高さ ]まで足し合わせた結果、ケーキ1カット(立体)になりました。

上の例ミルクレープケーキでは
面を足し合わせる(2次元)→ 立体になる(3次元)
のようになりました。
↑の処理を数学の式にすると↓のように「不定積分」です。

区間[ a, b ]について [ f(a) → f(b) ] を重ねていくとすると↓のようになります。

区間[ a, b ]について [ f(a) → f(b) ] を重ねていくことを数学で表すと↓になります。定積分と呼びます。

申し訳ありません、前置きが長くなりました。
”積分をする”とは[ 関数f(x)について[ 変数x ]について[ a, b ]の間を小さな区間ごとにf(x)を足し合わせた”合計の値を求める”、と理解しておきましょう。
上の例ミルクレープケーキでは
面を足し合わせる(2次元)→ 立体になる(3次元)
のようになりました。
「合計の値」としたのは↓以下ののように「何を足し合わせるのか」によって積分した値の種類や単位が違うからです。
点を足し合わせる(0次元) → 線になる(1次元)
線を足し合わせる(1次元)→ 面になる(2次元)
速度(時速)(km/h)を時間で積分すると
速度(−1次元 ← 時間が分母にある)→ 距離(長さ)(0次元 ← 時間については0次元という意味です)
区間を定義できれば「長さ」「時間」以外でも積分できます。
区間[ a, b ]について [ f(a) → f(b) ] を重ねていくことを数学で表すと↓になります。定積分と呼びます。
ミルクレープのように極薄い面積を[ a → b ]まで積み重ねていくイメージです。

xy座標平面でもこのようになります。
[ f(a) → f(b) ] を重ねていくことを数学で表すと↓になります。

y=f(x)でxy座標平面においては「どのような関数もyは上下の1次元(=yは上下の数直線)で表わされる」ため
・積分すると yの高さを区間[ a , b ]まで足し合わせる
つまり、↓のような微小な長方形を[ a, b ]まで足し合わせることが積分になり、結果[ yの1次元 ] → [ yの面積 2次元 ]が積分した値を意味しています。
関数が指数関数・三角関数・対数関数・n次関数を問わず、xy座標平面ではyを1次元で表すので「積分は面積(2次元)」との解釈が成立いたします。

定積分を差分と解釈することもできます。↓は面積を差し引きしています。

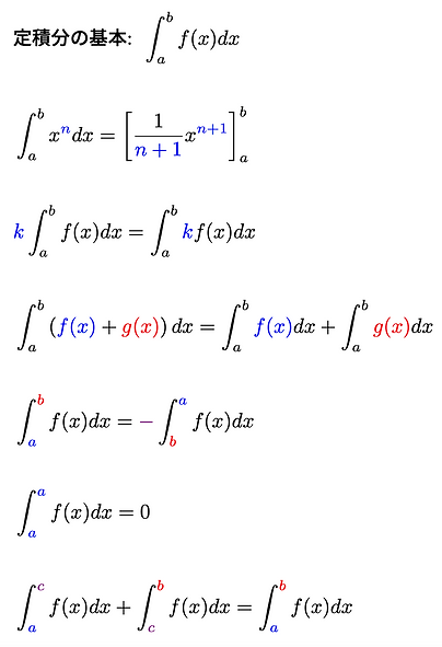
↓はいずれも「定積分のキホン」になります。

関数で区切られた領域の面積を求めるには
・交点 → [ 積分する区間 ]
・グラフの上下
を求めて計算します。

グラフが交差するのが複数ある場合は「区間を区切って」計算します。区間ごとに
・交点 → [ 積分する区間 ]
・グラフの上下

2次関数の交点と面積で計算が楽になるのが↓です。

上記の計算課程は↓のとおりです。2次と3次の対称式を用いています。

積分の工夫で代表的なものが「計算できる部分に倍数をかける」です。
求める計算の中に対称性があれば、一部分を計算して何倍することで計算を簡素化できます。

関数の積分をおさらいします。積分のコツは「積分できる形に式変形」ですが、そのためにはどの形なら積分できるか、をまず身につけます。
↓の多くは微分の単元で一度は目にしたことがあるのではないでしょうか。

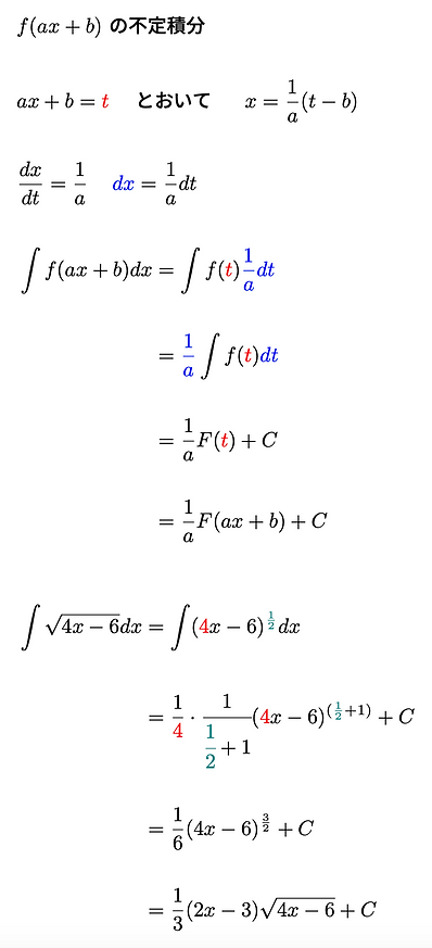
積分できる形に式変形する上で基本の一つが「置換積分法」です。 微分で「合成関数の微分」の考え方と共通点があります。

「置換積分法」では「どのように置き換える=文字におく」がポイントです。(←ある程度慣れ=パターンを覚えるのも効きます)

「置換積分法」では↓のように[ f(ax+b) ]も頻出です。

「置換積分法」はもう一つ↓もあります。こちらも合成関数の微分の反対ですが、[ x ]の置き換え方が上の例と異なります。

「置換積分法の定積分」は[ 区間 ]に注意です。 置き換える前の区間に応じて、「置き換えた後の区間」で積分する必要があります。
[ x の区間 ] → [ θ の区間 ]に積分区間も置き換えています。

「どう置き換えたら積分できるか?」については多少の慣れが役に立つ面もあり、演習することで「おそらくこれで良いだろう」と定石が身についてきます。しかしながら、基本パターンを身につけた上で「考える訓練」や「試行錯誤してみる姿勢」が初見の問題に解答する際に大切です。
「部分積分法」も有用なツールですが、こちらは「積の微分」の考え方を積分にあてはめたものになります。
xの次数を下げる、対数関数を積分する ←の場合に活用できる「部分積分法」です。

「部分積分法」は[ x × 関数 ]で次数を下げるのに活用したり、( x + 1 )で微分したりと使いこなす上で多少の工夫が必要です。

媒介変数表示で表される関数も積分できます。多少の式変形が必要であること、区間の取り方にご注意ください↓。

媒介変数表示と似た話で「yについて積分」もできます↓。

数学のフルコースの問題が「曲線の長さ」に関する問題です。「微分」と「積分」、考え方は「数列の和の極限」です。
積分の中で応用分野といえば「体積」を求めること、とイメージがあるかもしれません。
「微小区間に分割し合計する考え方」をあてはめて
面(2次元) → 積分 → 立体(3次元)
でよいので、「積分する関数を面(2次元)」にします。

面が長方形やn角形でなくとも「円」や「楕円」でも考え方は同じです。

回転体の体積については[ 半径 r = f (x) ]として面積を求めて積分します。
[ x軸の周りに回転させた体積 ]が↓になります。(y軸の周りに、、、の場合、yで積分)

道のりを求めるには「速さ」を積分します。 [ t ]は時間のt(time)にて座標平面において媒介変数表示しています。
これは「距離を微分して速度・速さ」を求めた処理の反対です。
(参考までに、「数直線上を行ったり来たり」の場合には座標はx軸だけで計算します)

bottom of page

